๋ฐฐ๊ฒฝ
Distilling the Knowledge in a Neural Network
A very simple way to improve the performance of almost any machine learning algorithm is to train many different models on the same data and then to average their predictions. Unfortunately, making predictions using a whole ensemble of models is cumbersome
arxiv.org
๋จธ์ ๋ฌ๋ ๋์์ธํจํด์ ์ฝ๋ ์ค 4์ฅ distilling ์ ๊ดํ ๊ธฐ๋ฒ์ด ๋์ ์ฐพ์๋ณด๊ฒ ๋์์ต๋๋ค.
์์ฝ
์ง๊ธ๊น์ง์ผ ๋๊ท๋ชจ ๋จธ์ ๋ฌ๋ ์์คํ ์ ํ์ต๊ณผ ๋ฐฐํฌ๋จ๊ณ์์ ๊ฐ์ผ๋ ๋ชจ๋ธ์ ์ฌ์ฉํ๋๋ฐ ์ด๋๋ฌธ์ ์ถ๋ก ๋ ๋ฒจ์์ ๋ฆฌ์์ค๊ฐ ์ปค์ง๋ค๋ ๋จ์ ์ด ์์์ต๋๋ค. ๊ทธ๋์ ๊ฑฐ๋ํ ๋ชจ๋ธ๋ก๋ถํฐ ์ง์์ ํ๋์ ์์ ๋ชจ๋ธ๋ก ์ ์ดํ๋ ๋ฐฉ๋ฒ์ ํตํด ์ด ์ ์ฝ์ ๊ทน๋ณตํ๋ ค๊ณ ํฉ๋๋ค. ์ด๊ฒ์ด “์ฆ๋ฅ” ์ ํํ์ ๋๋ค.
๊ธฐ์กด์ hard label ์ [1,0,0] ์ฒ๋ผ ์ ํํ ํ๋ฅ ์ ์๋ ค์ฃผ์๋๋ฐ, ์ค์ ๋ก๋ ๊ณ ์์ด๋ฅผ ๋ฎ์ ๊ฐ๊ฐ ์์์๋ ์์ผ๋ [0.6,0.4,0] ๊ฐ์ label ๋ ์๋ฏธ์๋ ์ง์์ผ ์ ์๋ค๋๊ฒ์ด ์์ด๋์ด ์ ๋๋ค.
๊ทธ๋์ ์ ๋ฆฌํ์๋ฉด ๊ฑฐ๋ํ ๋ชจ๋ธ์์ ์ฐ์ถ๋ ๋ง์ง๋ง ๋ ์ด์ด์ ๊ฐ๋ค์ ํ์ต์ ํ์ฉํ๋ soft target ์ผ๋ก ํ์ฉํ์๋ ๊ฒ์ ๋๋ค.
Distillation
๊ธฐ์กด์ ์ ๊ฒฝ๋ง์ ํด๋์ค ๋ถ๋ฅ ํ์คํฌ๋ฅผ ์ํํ ๋ output layer ์ softmax ๋ฅผ ์ทจํด logit ์ ๋ณํํฉ๋๋ค.

์ผ๋ฐ์ ์ผ๋ก T ๋ 1๋ก ์ธํ ๋์ด ์์ต๋๋ค. T๋ฅผ ๋๊ฒ ํ ์๋ก ํด๋์ค ํ๋ฅ ๊ฐ์ด soft ํ๊ฒ ์ถ๋ ฅ๋ฉ๋๋ค.


T ๊ฐ ์ปค์ง์๋ก ํด๋์ค ๊ฐ๋ค์ด soft ํด์ง๋ ๊ฒ์ ์ ์ ์์ต๋๋ค.
๋ ผ๋ฌธ์์ ์ ์ํ “์ฆ๋ฅ” ์ ๋ฐฉ์์ ๊ฑฐ๋ํ ๋ชจ๋ธ์ teacher model ๋ก ํน์ํ ๋ชฉ์ ์ผ๋ก ๋ง๋ค ์์ ๋ชจ๋ธ์ Student(distilled model) ์ด๋ผ ํฉ๋๋ค.

t๋ฅผ ์ต๋๋ก ํ๊ณ , ๊ธฐ์กด์ transfer dataset ์ teacher ๋ชจ๋ธ์ ๋ฃ๊ณ soft label (1) ์ ์ป์ต๋๋ค. ๊ทธ๋ฆฌ๊ณ student ๋ชจ๋ธ์ inference ํด์ soft prediction(2) ์ ์ป์ต๋๋ค. ๊ทธ๋ฆฌ๊ณ student model ์์ hard prediction(3)๊ฒฐ๊ณผ๋ฅผ ์ป์ต๋๋ค. ๊ทธ๋ฆฌ๊ณ (1) ์ (2) ์ cross entropy , (2) ์ (3) ์ cross entropy ๋ฅผ ๊ฐ์คํฉ ํ๋ ๋ฐฉ์์ด ์ฑ๋ฅ์ด ์ข๋ค๊ณ ํฉ๋๋ค.
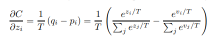
cross entropy gradient ์ ๋ ์๋์ ๊ฐ์ด ๋ํ๋ ๋๋ค. ์ฌ๊ธฐ์ Vi ๋ ํฐ ๋ชจ๋ธ์ ๊ฒฐ๊ณผ๊ฐ์ ๋ํ๋ด๊ณ pi ๋ soft label ์ ํ๋ฅ ๊ฐ์ ์๋ฏธํฉ๋๋ค. ๊ทธ๋ฌ๋๊น qi ์ pi ์ cross entropy ๋ฅผ ๊ณ์ฐํ๋ ๋ฌธ์ ๊ฐ logit ๊ฐ์ ์ฐจ์ด๋ฅผ ๊ทผ์ฌํ๋ ๋ฌธ์ ๋ก ๋ณํ์ํค๊ณ ์์์ ์๋ฏธํฉ๋๋ค.

์ฆ๋ฅ์์ Teacher Model ๊ณผ Student ์ ๋ชจ๋ธ output ์ฐจ์ด๋ฅผ ํ์ฉํด gradient ๊ณ์ฐ์ ํ๋ ค๋ ์์ง์์ ๋๋ค.
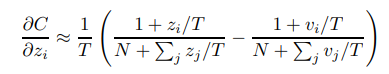
์ฌ๊ธฐ์ T๊ฐ ์ถฉ๋ถํ ํฌ๋ค๋ฉด ํ ์ผ๋ฌ ๊ทผ์ฌ๋ฅผ ํ์ฉํด ์๋์ ๊ฐ์ด ๋ํ๋ผ ์ ์์ต๋๋ค

๊ทธ๋ฆฌ๊ณ logit ์ ํ๊ท ์ด 0 ์ด๋ผ๊ณ ๊ฐ์ ํ๋ค๋ฉด 0 ์ผ๋ก ๋ณํ๋๋

student model output ์ ๋ํ Cross entropy ๋ณํ์จ ์ฆ gradient ๋ nt^1 ์ ๋ฐ๋น๋กํ๊ฒ ๋ฉ๋๋ค. ๊ทธ๋์ ๊ฒฐ๋ก ์ “T๊ฐ ์ถฉ๋ถํ ํฐ ์ํฉ์์ logit ๋ค์ ํ๊ท ์ด 0 ์ผ๋ก ์ฃผ์ด์ก๋ค๋ฉด, Distillation ์ 1/nt^2 ์ ์ต์ํ ํ๋ ๋ฌธ์ ๊ฐ ๋ฉ๋๋ค.
๋ฐ๋๋ก T ๊ฐ ๋ฎ๋ค๋ฉด gradient ๋ฅผ ์ต๋ํ ์ํค๋ ๋ชจ๋ธ์ด ๋๋ฌด ์๋ค๋ฉด ์ค๊ฐ์ ๋์ temperature ๋ฅผ ์ฌ์ฉํ๋๊ฒ์ด ์ข๋ค๊ณ ์ฃผ์ฅํฉ๋๋ค
๊ธฐ์ฌ๋
๋ณธ ๋ ผ๋ฌธ์ ๊ฐ์ฅ ํฐ ๊ธฐ์ฌ๋ ๋ค์ ์ธ ๊ฐ์ง๋ก ์ ๋ฆฌํ ์ ์์ต๋๋ค.
1. Soft Target์ ํ์ฉํ ์ง์ ์ ๋ฌ ๋ฐฉ์์ ์ ์ํ
๊ธฐ์กด์ ๋ถ๋ฅ ๋ชจ๋ธ์ ์ ๋ต ๋ ์ด๋ธ(one-hot ๋ฒกํฐ)๋ง์ ํ์ต ์ ํธ๋ก ์ฌ์ฉํ์์ต๋๋ค. ๊ทธ๋ฌ๋ ๋ณธ ๋ ผ๋ฌธ์ ๋ชจ๋ธ์ ์ถ๋ ฅ ํ๋ฅ ๋ถํฌ ์ ์ฒด๊ฐ ์ง์์ด๋ผ๋ ๊ด์ ์ ์ ์ํ์์ต๋๋ค.
ํนํ Teacher ๋ชจ๋ธ์ด ์ถ๋ ฅํ softmax ํ๋ฅ ๋ถํฌ์๋ ๋ค์๊ณผ ๊ฐ์ ์ ๋ณด๊ฐ ํฌํจ๋์ด ์์ต๋๋ค.
- ํด๋์ค ๊ฐ ์ ์ฌ๋
- ๋ชจ๋ธ์ด ํท๊ฐ๋ฆฌ๋ ์ ๋
- ๋ฐ์ดํฐ ๋ถํฌ์ ๋ํ ์๋ฌต์ ๊ตฌ์กฐ
์ด๋ฅผ Student ๋ชจ๋ธ์ด ํ์ตํ๋๋ก ๋ง๋ค๋ฉด, ๋จ์ํ ์ ๋ต์ ๋ง์ถ๋ ๊ฒ์ด ์๋๋ผ Teacher์ ํ๋จ ๊ตฌ์กฐ ์์ฒด๋ฅผ ๋ชจ๋ฐฉํ๊ฒ ๋ฉ๋๋ค.
์ด๋ ์ดํ ๋ชจ๋ Knowledge Distillation ์ฐ๊ตฌ์ ์ถ๋ฐ์ ์ด ๋์์ต๋๋ค.
2. Temperature ๊ธฐ๋ฐ ํ๋ฅ ๋ถํฌ ์ ์ด ๋ฉ์ปค๋์ฆ ์ ์
๋ ผ๋ฌธ์ softmax ํจ์์ temperature TTT๋ฅผ ๋์ ํ์ฌ ํ๋ฅ ๋ถํฌ๋ฅผ ์กฐ์ ํ๋ ๋ฐฉ์์ ์ ์ํ์์ต๋๋ค.

- T=1์ผ ๊ฒฝ์ฐ ์ผ๋ฐ์ ์ธ softmax
- T>1์ผ ๊ฒฝ์ฐ ๋ถํฌ๊ฐ ํํํด์ง
Temperature๋ฅผ ๋์ด๋ฉด ๋ชจ๋ธ์ ํ์ (confidence)์ด ๋ฎ์์ง๊ณ , ํด๋์ค ๊ฐ ์๋์ ๊ด๊ณ ์ ๋ณด๊ฐ ๋ ์ ๋๋ฌ๋ฉ๋๋ค. ์ด๋ก ์ธํด Student ๋ชจ๋ธ์ ๋จ์ ์ ๋ต์ด ์๋๋ผ ํ๋ฅ ๊ตฌ์กฐ ์์ฒด๋ฅผ ํ์ตํ๊ฒ ๋ฉ๋๋ค.
์ด๋ฌํ ์ํ์ ๊ทผ์ฌ ๋ถ์์ ํตํด, KD๊ฐ ๊ฒฐ๊ตญ logit ๊ฐ ์ฐจ์ด๋ฅผ ์ค์ด๋ ๋ฌธ์ ๋ก ์๋ ดํ๋ค๋ ๊ฒ์ ๋ณด์ธ ์ ์ญ์ ์ค์ํ ๊ธฐ์ฌ์ ๋๋ค.
3. ์์๋ธ ๋ชจ๋ธ์ ์์ถ ๋ฐฉ๋ฒ ์ ์
๋ ผ๋ฌธ์ ์ฌ๋ฌ ๊ฐ์ ๋ชจ๋ธ์ ์์๋ธํ์ฌ ์ป์ ๊ณ ์ฑ๋ฅ Teacher ๋ชจ๋ธ์ ๋จ์ผ Student ๋ชจ๋ธ๋ก ์์ถํ ์ ์์์ ๋ณด์์ต๋๋ค.
์ด๋ ๋ค์๊ณผ ๊ฐ์ ์ค์ฉ์ ์๋ฏธ๋ฅผ ๊ฐ์ง๋๋ค.
- ํ์ต ๋จ๊ณ์์๋ ๋๊ท๋ชจ ๋ชจ๋ธ ์ฌ์ฉ
- ๋ฐฐํฌ ๋จ๊ณ์์๋ ๊ฒฝ๋ ๋ชจ๋ธ ์ฌ์ฉ
- ์ถ๋ก ์๋ ํฅ์ ๋ฐ ๋ฆฌ์์ค ์ ๊ฐ
์ฆ, ํ์ต๊ณผ ๋ฐฐํฌ์ ๊ตฌ์กฐ์ ๋ถ๋ฆฌ๋ฅผ ๊ฐ๋ฅํ๊ฒ ํ ๊ธฐ๋ฒ์ด๋ผ๋ ์ ์์ ์ฐ์ ์ ์๋ฏธ๊ฐ ๋งค์ฐ ํฝ๋๋ค.
์คํ๊ฒฐ๊ณผ
MNIST
MNIST ์คํ์์๋ ๋ค์๊ณผ ๊ฐ์ ์ค์ ์ ์ฌ์ฉํ์์ต๋๋ค.
- Teacher ๋ชจ๋ธ: ์ฌ๋ฌ ๊ฐ์ ๋ชจ๋ธ์ ์์๋ธํ ๊ณ ์ฑ๋ฅ ๋คํธ์ํฌ
- Student ๋ชจ๋ธ: ์๋์ ์ผ๋ก ์์ ๋คํธ์ํฌ
๊ฒฐ๊ณผ์ ์ผ๋ก Student ๋ชจ๋ธ์ ๋ค์๊ณผ ๊ฐ์ ํน์ง์ ๋ณด์์ต๋๋ค.
- ์ผ๋ฐ์ ์ธ hard label ํ์ต ๋๋น ๋ ๋ฎ์ error rate
- Teacher์ ์ฑ๋ฅ์ ๊ทผ์ ํ ์ ํ๋ ๋ฌ์ฑ
- ๊ณผ์ ํฉ ๊ฐ์ ํจ๊ณผ
ํนํ ๋ฐ์ดํฐ๊ฐ ์ถฉ๋ถํ์ง ์์ ์ํฉ์์๋ soft target์ ์ฌ์ฉํ๋ฉด ์ผ๋ฐํ ์ฑ๋ฅ์ด ๊ฐ์ ๋๋ ๊ฒฝํฅ์ ๋ณด์์ต๋๋ค.
์ด๋ soft target์ด ์ผ์ข ์ regularizer ์ญํ ์ ์ํํ๋ค๋ ๊ฒ์ ์๋ฏธํฉ๋๋ค.
Speech Recognition
์์ฑ ์ธ์ ์คํ์์๋ ๋๊ท๋ชจ acoustic model์ Teacher๋ก ์ฌ์ฉํ์์ต๋๋ค.

Teacher๋ ๋งค์ฐ ๋ณต์กํ๊ณ ํฐ ๋คํธ์ํฌ์์ผ๋ฉฐ, ์ง์ ๋ฐฐํฌํ๊ธฐ์๋ ๋นํจ์จ์ ์ด์์ต๋๋ค.
Distillation์ ์ ์ฉํ Student ๋ชจ๋ธ์:
- ํ๋ผ๋ฏธํฐ ์ ๊ฐ์
- ์ถ๋ก ์๋ ๊ฐ์
- ์ ํ๋๋ Teacher์ ๊ทผ์
ํนํ soft target ๊ธฐ๋ฐ ํ์ต์ด hard label ๊ธฐ๋ฐ ํ์ต๋ณด๋ค ์์ ์ ์ธ ์๋ ด ํน์ฑ์ ๋ณด์์ต๋๋ค.
์ด๋ KD๊ฐ classification๋ฟ ์๋๋ผ sequence ๊ธฐ๋ฐ ๋ฌธ์ ์๋ ์ ์ฉ ๊ฐ๋ฅํจ์ ๋ณด์ฌ์ฃผ๋ ์ฌ๋ก์ ๋๋ค.
์ฐธ๊ต์๋ฃ :
[๋ ผ๋ฌธ ๋ฆฌ๋ทฐ] Distilling the Knowledge in a Neural Networkโ
'Dev,AI > ๋ ผ๋ฌธ๋ฆฌ๋ทฐ' ์นดํ ๊ณ ๋ฆฌ์ ๋ค๋ฅธ ๊ธ
| ๋ ผ๋ฌธ๋ฆฌ๋ทฐ) Learning data driven discretizations for partial differential equations (0) | 2026.02.02 |
|---|