Learning data driven discretizations for partial differential equations
The numerical solution of partial differential equations (PDEs) is challenging because of the need to resolve spatiotemporal features over wide length and timescales. Often, it is computationally intractable to resolve the finest features in the solution.
arxiv.org
๋ฐฐ๊ฒฝ
๋จธ์ ๋ฌ๋ ๋์์ธํจํด 4์ฅ ๋ชจ๋ธ ํ์ต ๋์์ธํจํด ์ฝ๋ ์ค ๊ณผ์ ํฉ์ด ์ฌ์ฉ๋ ์ ์๋ ์ฌ๋ก์ ๋ํ ์ค๋ช ์ ์ฝ์์ต๋๋ค. ๋ซํ ํด๊ฐ ์๋ ๊ฒฝ์ฐ ์ฆ ๋ฐ์ดํฐ๊ฐ ํ์ค์ 100% ๋ฐ์ํ ์ ์๋ ๊ฒฝ์ฐ ๊ณ์ฐ overhead ๊ทน๋ณต์ ์ํด ML ์ค๊ณ๊ฐ ๋์์ด ๋๋๋ฐ, ์ด๋ ๊ณผ์ ํฉ์ด ๋ ์ ํฉํ๋ค๋ ๋ด์ฉ์ ์ฝ์์ต๋๋ค. ๋ํ uniform approximation theorem ์์ ํ๋์ hidden layer ์ activation function ์ด ์๋ Network ์ ์ํด ๊ทผ์ฌ๋ ์ ์๋ค๋ ์คํ์ด ๋ง์ด ์ฆ๋ช ๋์์ต๋๋ค. ์ด์ ์ฐ์ฅ์ ์ผ๋ก ์กฐ๊ธ ๋ค ํ์ค์ธ๊ณ์์๋ ๋ชจ๋ ์ ๋ ฅ์ ํ ์ด๋ธ๋ก ๋ง๋๋ ๊ฒ์ด ๋ถ๊ฐ๋ฅํ ๊ฒฝ์ฐ๊ฐ ๋ง์ผ๋ ์ ๋ ฅ ๊ณต๊ฐ์ ์ํ๋งํด์ ๋ฐ์ดํฐ๋ฅผ ๋ง๋ค์ด๋ด๋ ๋ชฌํ ์นด๋ฅผ๋ก ์ ๊ทผ๋ฐฉ์์ ์ ์ํ์ต๋๋ค.
๊ทธ๋ฆฌ๊ณ ๋ชฌํ ์นด๋ฅผ๋ก ๋ฐฉ๋ฒ ๋์ ๋จธ์ ๋ฌ๋์ ํ์ฉํ๋ค๋ฉด PDE ์ ๋ฐ์ดํฐ ๊ธฐ๋ฐ ์ด์ฐํ๋ฅผ๋ง๋ค์ด๋ผ ์ ์๋ค๊ณ ํฉ๋๋ค. ์ฆ, ํ์ค์ธ๊ณ์ ํ์์ ๋ชจ๋ธ๋งํ๋ PDE ๋ฅผ ์ง์ ๋ง๋ค์ง ๋ง๊ณ ๋จธ์ ๋ฌ๋์ ํ์ฉํด์ ํ๋ณด๋ ๋ฐ์ดํฐํ๋๋ฅผ ์ด๋ป๊ฒ ์์ด์ผํ๋์ง๋ฅผ ํ์ต์ํค๋ ๊ฒ ์ ๋๋ค. ํจ์์์ด ํจ์์ ๊ทผ์ฌ์ํค๋ ค๋ ๋ ธ๋ ฅ์ ๋๋ค.
๊ทธ๋ฆฌ๊ณ ๋ณธ ํฌ์คํ ์์ ๋ฆฌ๋ทฐํ ๋ ผ๋ฌธ์ด ๋ฐ๋ก ์ด์ ๋ํ ํจ๊ณผ๋ฅผ ์ ๋ณด์ฌ์ค Learning data driven discretization for partial differential equations ์ ๋๋ค.
์์ฝ
PDE ์ ์์น์ ์๋ฃจ์ ์ ๋ค์ฐจ์์ ์๊ณต๊ฐ์ ํผ์ฒ๋ค์ ์ ํด๊ฒฐํ์ง ๋ชปํฉ๋๋ค. ( ์ฐจ์์ ์ ์ฃผ ) ์ด๊ฑธ ํด๊ฒฐํ๋ ค๋ฉด ๋๋ฌด ๋ง์ ์์ ๊ณ์ฐ์ด ํ์ํ๊ธฐ ๋๋ฌธ์ธ๋ฐ์. ๊ธฐ์กด์ ์ ์ผํ ๋ฐฉ๋ฒ์ ์ข ์ ๋๋กํ์ง ๋ชปํ ์ง๋ผ๋ ๊ทผ์ฌ์ํค๋ ค๊ณ ๋ ธ๋ ฅํ๋ ๊ฒ ์ ๋๋ค. ๊ทผ๋ฐ ๋ฌผ๋ก ๊ทธ๊ฒ๋ ์ด๋ง์ด๋งํ๊ฒ ์ด๋ ต์ต๋๋ค. ๊ทธ๋์ ํด๋น ๋ ผ๋ฌธ์์๋ ํ์์ PDE ๋ฅผ ๊ทผ์ฌ์ํค๋ ๊ฒ์ด ์๋๋ผ data driven ๋ฐฉ์ ์์ ์ ์ํฉ๋๋ค. PDE๋ฅผ ์ผ๋ฐ์ ์ผ๋ก ์๋ ค์ง ๋ฐฉ์ ์์ ๊ธฐ๋ฐํด์ neural network ๋ฅผ ์ฌ์ฉํด ์ฐจ์์ ์ ์ฃผ ๋ฌธ์ ๋ฅผ ํด๊ฒฐํ ๋ฐฉ๋ฒ์ ๋๋ค.
๋ค์ ์ ๋ฆฌํ์๋ฉด ๊ธฐ์กด PDE ๋ฌธ์ ๋ฅผ ํด๊ฒฐํ ๋ ์ ๊ทผ์ ์ ์ ์๋ PDE๋ฅผ ์ผ๋ง๋ ์ ํํ๊ฒ ๊ทผ์ฌ์ํฌ ๊ฒ์ธ์ง ์์ง๋ง, ์ด์ ๋ PDE๋ฅผ ์ ํํ๊ฒ ๊ทผ์ฌํ์ง ์๊ณ ์ด์ฐํ๋ ์ฐ์ฐ์๋ฅผ ๋ฐ์ดํฐ์ ๊ธฐ๋ฐํด ํ์ต์ํค์๋ ๊ด์ ์ ๋๋ค.
์ผ๋ฐ์ ์ผ๋ก ๋๋ถ๋ถ์ ๋ฌผ๋ฆฌํ์์ PDE ๋ก ํํํ ์ ์๊ณ ์๊ฐ์ ๋ฐ๋ผ์ ๋ณํ๋ ์ฐ์์ ์ธ ๋ฌผ๋ฆฌ๋์ ์๋์ ๊ฐ์ด ๋ํ๋ผ ์ ์์ต๋๋ค. ๋ฌธ์ ๋ ์ด๊ฑธ ์ปดํจํฐ๋ก ํ์ด๋ด๋ ๋ฐฉ๋ฒ์ธ๋ฐ์,

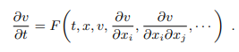
์ปดํจํฐ๋ ์ฐ์์ ์ธ ๋ฐ์ดํฐ๋ฅผ ์ง์ ๋ค๋ฃฐ ์ ์๊ธฐ ๋๋ฌธ์ ์ฐ๋ฆฌ๊ฐ ์ธ์งํ ์ ์๋ grid ์์ ์ด์ฐ์ ์ผ๋ก ํ์ํ๊ฒ ๋ฉ๋๋ค. ๊ทธ๋ฆฌ๊ณ ์ต๋ํ ์ฐ์์ ์ผ๋ก ๋ค๋ฃจ๋ ค๊ณ ๋ ธ๋ ฅํ์ง์. ์ด๋ ์ ํ์ฐจ๋ถ (FD) ์ ํตํด์ ์๊ฐ์ ๋ํ ODE Form ์ผ๋ก ๋ฐ๋๊ฒ ๋ฉ๋๋ค.

์ฌ๊ธฐ์ F ๋ ์ด์ ์ด๊ฒ๋ค์ gird ์ฃผ๋ณ์ ๊ฐ๋ค๋ก ๊ทผ์ฌํด์ผ ํ๋๋ฐ,

์ฌ๊ธฐ์ a(i)^n ์ ์ ๊ฒฝ๋ง์ผ๋ก ํ์ตํด์ ๊ตญ์์ ๊ตฌ์กฐ์ ๋ฐ๋ผ ํ์ค์ ๋ค๊ฐ๊ฐ๋๋ก ์ค๊ณํ๋ ๊ฒ ์ ๋๋ค. ๊ณ ํด์๋ ์๋ฎฌ๋ ์ด์ ๋ฐ์ดํฐ๋ก ํ์ต ๋ฐ์ดํฐ๋ฅผ ๋ง๋ค๊ณ ํด๋น ์์ ๋ฑ์ฅํ๋ ๋ฏธ๋ถํญ๋ค์ ์ด์ฐ๊ทผ์ฌ์( ์ฌ๊ธฐ์๋ sigma alpha ^ n v(i) ) ์ ํ์ตํฉ๋๋ค. ์ด ๊ณผ์ ์ด ๊ณ์ฐ๋น์ฉ ์ธก๋ฉด์์์ ํธ๋ ์ด๋ ์คํ๋ฅผ ๋ง๋๋๋ฐ ์ด๊ฑด ์ ์ฒด ํ๋๊ฐ ์๋ ์์ ๋ถ๋ถ์์ ๊ณ ํด์๋ ์๋ฎฌ๋ ์ด์ ๋ฐ์ดํฐ๋ฅผ ์ถ์ถํด ์ํํ ์ ์์ต๋๋ค. ์ด๋ ๊ฒ ํ๋ฉด ํจ์ฌ ํฐ ์์คํ ์[์๋ ๋ฎ์ ๊ณต๊ฐ์์ ์ป์ ๋ฐ์ดํฐ๋ก ๊ณ์ฐํ ์ ์์ต๋๋ค.
→ ์์ ์ง์ญ์์ solution manifold ์์ ์ค์ ํ์์ ์ ๊ทผ์ฌํ๋ฉด , ๊ทธ ๊ตญ์์ ์ด์ฐํ ๊ท์น(ML ๋ชจ๋ธ)์ด ๋ ํฐ ์์คํ ์์๋ ์ฌ์ฌ์ฉ ๊ฐ๋ฅํ๋ค๊ณ ํ๋ ๊ฒ ์ ๋๋ค. ๊ทธ๋ฌ๋๊น ์ค์ํ ๊ฒ์ ์๋ฒฝํ ์ ํฉ์ด ์๋๋ผ ๊ตญ์ ์์ญ์์ ์ค์ ๋ฌผ๋ฆฌ๊ณ์ ์ญํ ์ํ๋ฅผ ์ ํฌ์ฐฉ(๊ทผ์ฌ)ํ๋ ๊ฒ์ ๋๋ค.
์ค์ ๋ก ์ ๊ฒฝ๋ง์ ํ์ฉํด ์ค์ ํ์์ ๊ธฐ์ฌํ๋ ๋น๊ต๋ฅผ ํด๋ณด๋ฉด ๋ฐฉ์ ์์ผ๋ก ๊ทผ์ฌํ๋ ๊ฒ๋ณด๋ค ์ฑ๋ฅ์ด ๋ ์ข๋ค๊ณ ์ฃผ์ฅํฉ๋๋ค.

๊ธฐ์ฌ๋
์ด ๋ ผ๋ฌธ์ ๊ฐ์ฅ ํฐ ๊ธฐ์ฌ๋ PDE ํด๋ฒ ์์ฒด๊ฐ ์๋๋ผ, PDE ์ด์ฐํ๋ฅผ ํ์ต์ ๋์์ผ๋ก ์ฌ์ ์ํ๋ค๋ ์ ์ ๋๋ค. ๊ธฐ์กด ์์นํด์์ ๋ฏธ๋ถ ์ฐ์ฐ์๋ฅผ ๋ณดํธ์ ์ผ๋ก ๊ทผ์ฌํ๋ ค๊ณ ์๋ํ๋๋ฐ์, ๋ณธ ์ฐ๊ตฌ๋ ํด๊ฐ ์ค์ ๋ก ์กด์ฌํ๋ solution manifold ์์์๋ง ์ ํจํ ๊ตญ์ ์ด์ฐํ ๊ท์น์ ๋ฐ์ดํฐ๋ก๋ถํฐ ํ์ตํฉ๋๋ค.
๊ตฌ์ฒด์ ์ผ๋ก๋ ๋ค์๊ณผ ๊ฐ์ ๊ธฐ์ฌ๊ฐ ์์ต๋๋ค.
์ฒซ์งธ, equation-specific discretization์ด๋ผ๋ ๊ฐ๋ ์ ๋ช ํํ ์ ์ํฉ๋๋ค. ์ ํ์ฐจ๋ถ ๊ณ์๋ ๋ณดํธ์ ์ด์ด์ผ ํ๋ค๋ ๊ธฐ์กด ๊ด์ ์์ ๋ฒ์ด๋, ๋ฐฉ์ ์๊ณผ ๊ตญ์ ์ํ์ ๋ฐ๋ผ ๋ฌ๋ผ์ง๋ ์ด์ฐํ ๊ณ์๋ฅผ ํ์ฉํจ์ผ๋ก์จ under-resolved ์กฐ๊ฑด์์๋ ๋์ ์ ํ๋๋ฅผ ๋ฌ์ฑํฉ๋๋ค.
๋์งธ, solution manifold ๊ธฐ๋ฐ ํ์ต ๊ด์ ์ ์ ์ํฉ๋๋ค. ์ ๊ฒฝ๋ง์ ์ ์ฒด ํจ์ ๊ณต๊ฐ์ ๊ทผ์ฌํ๋ ๊ฒ์ด ์๋๋ผ, ๋ฌผ๋ฆฌ์ ์ผ๋ก ๊ฐ๋ฅํ ํด๊ฐ ๋์ด๋ ์ ์ฐจ์ ๋ค์์ฒด(manifold)๋ง์ ํ๋ผ๋ฏธํฐํํฉ๋๋ค. ์ด๋ก ์ธํด ๊ฒฉ์ ํด์๋๋ฅผ ๋ฎ์ถ๋๋ผ๋ ์ค์ ๋ฌผ๋ฆฌ์ ๋์ญํ์ ์ ์งํ ์ ์์์ ๋ณด์ ๋๋ค.
์คํ๊ฒฐ๊ณผ
๋ณธ ๋ ผ๋ฌธ์์๋ ๋ฐ์ดํฐ ๊ธฐ๋ฐ ์ด์ฐํ๊ฐ ์ค์ PDE ๋ฌธ์ ์์ ๊ธฐ์กด ์์นํด์๋ณด๋ค ์ผ๋ง๋ ๋ฐ์ด๋์ง ๋ณด์ด๊ธฐ ์ํด ์ฌ๋ฌ ๋ํ์ ๋น์ ํ PDE๋ฅผ ๋์์ผ๋ก ์คํ์ ์ํํ์ต๋๋ค. ๊ทธ์ค ๊ฐ์ฅ ์ค์ํ ๊ฒ์ 1์ฐจ์ Burgers’ equation์ธ๋ฐ์, ์ด ๋ฐฉ์ ์์ ๊ฐ๋จํ์ง๋ง ์ถฉ๊ฒฉํ(shock) ํ์ฑ๊ณผ ๊ฐ์ ๋ณต์กํ ๋น์ ํ ํ์์ ํฌํจํด ์์น์ ๊ทผ์ฌ๊ฐ ์ด๋ ต๋ค๋ ์ ์์ ์ด์์ ์ธ ํ ์คํธ๋ฒ ๋์ ๋๋ค.
burger’s equation ์ ์๋์ ๊ฐ์ด ์ฐ์ ๋๋ค.


burger’s equation ์ ํด์๋๋ฅผ ๋ง์ด ๋ฎ์ถ ๊ฒฝ์ฐ์๋ ๋ฐ์ฐํ์ง ์๊ณ ์ค์ฐจ๊ฐ ์ค์ด๋ค์์ผ๋ฉฐ ์ถฉ๊ฒฉํ์ ์์นํ ํํ๋ฅผ ์์ ์ ์ผ๋ก ์ ๋ถํ์ต๋๋ค. ์ ๊ฒฝ๋ง์ด ์ถฉ๊ฒฉํ์ ๊ฐ์ ๋น์ ํ์ ์ด๊ณ ์์ธกํ๊ธฐ ํ๋ค๋ณด์ด๋ ๋น์ ํPDE์์๋ ๊ทธ ๊ตฌ์กฐ๋ฅผ ์ ๋ฐ์ํ๊ธฐ ๋๋ฌธ์ ๋๋ค.
์ด ์คํ์ผ๋ก ์ถ๊ฐ์ ์ผ๋ก ํ์ต ๋๋ฉ์ธ๋ณด๋ค ํจ์ฌ ํฐ ๋๋ฉ์ธ์์๋ ์ ์๋ํจ์ ์ฆ๋ช ํ์ต๋๋ค. ๋ ผ๋ฌธ์ ์ฝ์ผ๋ฉฐ ์ด๋ฐ์ ๊ตญ์์ ์์ญ์ ์ค์ ๋ฐ์ดํฐ๋ก๋ง ํ์ต์์ผฐ๋๋ฐ, ๊ณผ์ฐ ๋ชจ๋ ์์ญ์์ ์ ์๋ํ ๊น? ๊ฑฑ์ ํ์ง๋ง, trainig domain ๋ณด๋ค 10๋ฐฐ ๋ ํฐ ๊ณต๊ฐ์์๋ burger’s equation ์ ํ์ด๋ณด์์์๋ ์ ์๋ํ์ฌ ์ผ๋ฐํ ํ์์ ๋ณด์ฌ์ค๋๋ค.
๊ฒฐ๋ก ์ ์คํ๊ฒฐ๊ณผ๋ฅผ ํตํด ๋ฐ์ดํฐ ๊ธฐ๋ฐ ์ด์ฐํ๊ฐ ์ ํต์ ์์นํด๋ฒ๋ณด๋ค ์ ๊ตํ๊ณ ์ฌ์ฐ๋ฉฐ ์์ ์ ์ด๋ผ๋ ๊ฒ์ ๋ณด์ฌ์ค๋๋ค.
ํฅํ ์ฐ๊ตฌ ๋ฐฉํฅ
์ฐ๊ตฌ์์๋ ๋๊ฐ์ง ์ฑ๋ฆฐ์ง๊ฐ ๋จ์์๋ค๊ณ ํฉ๋๋ค.
์ฒซ๋ฒ์งธ๋ก, ์๋์ ๋๋ค. FD ๋ฅผ ๊ตฌํํ ๋ ๋ง์ convolution ์ฐ์ฐ์ ์ฌ์ฉํฉ๋๋ค. ์ ์๋ค์ ์ด๊ฒ๋ณด๋ค ๋ค๋ฅธ ๋จธ์ ๋ฌ๋ ์ ๊ทผ๋ฒ์ด ํจ์ฌ ๋ ๋น ๋ฅผ ์ ์๋ค๊ณ ์๊ฐํ๊ณ ์๊ณ , pre-trained linear filter ๊ฐ ์์ญ๋ฐฐ ์ด์์ ์ฑ๋ฅ ํฅ์์ ๋ณด์ธ๋ฐ๊ฐ ์์ต๋๋ค.
๋๋ฒ์งธ๋ ๊ณ ์ฐจ์ ๋ฌธ์ ์ higher dimensional problem ์ ๋๋ค. 2,3์ฐจ์์์๋ dimension ์ด ์ ๊ณฑ, ์ธ์ ๊ณฑ์ผ๋ก ์ปค์ง๋ ์ฐ์ฐ overhead ๋ฅผ ๋์ฑ ์ค์ฌ ์ด๋์ ๊ธฐ๋ํ ์ ์์ต๋๋ค.
'Dev,AI > ๋ ผ๋ฌธ๋ฆฌ๋ทฐ' ์นดํ ๊ณ ๋ฆฌ์ ๋ค๋ฅธ ๊ธ
| ๋ ผ๋ฌธ๋ฆฌ๋ทฐ) Distilling the Knowledge in a Neural Network (0) | 2026.02.09 |
|---|